Skip to content

EE6301-SMART BIOSENSORS & SYSTEMS FOR HEALTHCARE (LEC)

上古传承
Published date:
Edit this post

完整资料详见NTU-EEE-Notes

Table of contents

Open Table of contents

【EE6301】待办事项

Topic1-Introduction to Biosensors and Modern Healthcare

Outline:


Part3-光学传感器应用:LOD、Sensitivity

【汇总】EE6301课程讲义, p.60

Key Parameters of Biosensors

检测限(Detection limit, LOD): 指传感器能够检测到的最低物质浓度或数量,是传感器性能的重要指标之一。

【汇总】EE6301课程讲义, p.62

Sensitivity VS. Limit of Detection

灵敏度(Sensitivity):指在特定浓度下区分待测物浓度微小差异的能力。 —校准灵敏度:校准曲线在目标浓度处的斜率。 检测限(Limit of Detection, LOD):指在已知置信区间内可以检测到的最低浓度。

【汇总】EE6301课程讲义, p.63

【汇总】EE6301课程讲义, p.63

注意查看y轴、x轴单位换算,形成LOD和Sensitivity的正确单位;

Sensitivity、灵敏度计算公式

【汇总】EE6301课程讲义, p.66

Example-LOD

【汇总】EE6301课程讲义, p.64

Example 1:

注意查看y轴、x轴单位换算,形成LOD和Sensitivity的正确单位;

Quiz-Example-LOD

quiz1 solution(1), p.4

依然是简单的:

LOD=3smslopeLOD=\frac{3s}{m_{slope}}

【重要】Sample Exams

【汇总】EE6301课程讲义, p.88

SAMPLE EXAMS

Week 2-Optical Biosensor (1)-光学生物传感器

【汇总】EE6301课程讲义, p.104

Optical Biosensor (1)

Outline:

Example-LOD计算

【汇总】EE6301课程讲义, p.110

Example 1

给定吸光度标准差 ss,以及校准曲线斜率(slope),求LOD

【汇总】EE6301课程讲义, p.111

Example 2

光学生物传感器(optical biosenser):最常见的生物传感器类型;

光学生物传感器(Optical biosensor)由以下三个部分组成:

电磁波公式

【汇总】EE6301课程讲义, p.121

【重要&计算】粒子模型-particle model&&光子、photon

【汇总】EE6301课程讲义, p.124

Particle Model

光子能量(Photon energy)转换公式:1eV=1.602×1019 J1 \text{eV} = 1.602 \times 10^{-19} \ \text{J} 光子能量与波长、频率的换算关系:λ=c/v\lambda=c/v - vv: Frequency; =ENh=\frac{E}{N\cdot h} - cc: 3×108m/s3\times 10^8 \text{m/s}

【重要&计算】Example-穿透深度、折射、

【汇总】EE6301课程讲义, p.135

Example 3

代入穿透深度计算公式:

折射率-Refractive Index

【汇总】EE6301课程讲义, p.126

Refractive Index

反射与折射-Reflection and Refraction: 【汇总】EE6301课程讲义, p.129

斯涅尔定律-Snell’s law:

n1sin(θ1)=n2sin(θ2)n_1 \sin(\theta_1) = n_2 \sin(\theta_2)

全内反射(Light at Interface - Total Internal Reflection)

关键:临界角-critical angle:

θc=sin1(n2/n1)\theta_c = \sin^{-1}(n_2/n_1)

当入射角 θ1>θc\theta_1 > \theta_c 时候,Snell‘s law不再适用; 当入射角大于临界角时,发生全内反射(Total internal Reflection),光线完全反射回界面内。

如果需要计算角度 *Degree,按照以下步骤调整计算器:

  • SHIFT+SETUP;
  • 2-Angle Unit;
  • 1-Degree(如果需要实数值,则换成Radian)

消逝场(Evanescent Field)

【汇总】EE6301课程讲义, p.131

消逝场(Evanescent Field)

定义:消逝场是光波在界面处由于全内反射而产生的一种快速衰减的场。许多基于波导/光纤的生物传感器依赖于消逝场!!!

光线会渗透到“较稀薄”的介质(折射率较小的介质)中; 发生了 Goos-Haenchen 位移(光线的实际反射路径有微小偏移) 【汇总】EE6301课程讲义, p.131

穿透深度(Penetration depth)

【汇总】EE6301课程讲义, p.132 穿透深度取决于:

背景:在基于波导(Waveguide)的生物传感器中,光的入射角接近90度,计算: 【汇总】EE6301课程讲义, p.133

倏逝波场(Evanescent Wave Field)

【汇总】EE6301课程讲义, p.134

什么是倏逝波场(Evanescent Wave Field)

==Back to P135-Example3==

Example-计算全内反射临界角

【汇总】EE6301课程讲义, p.141

Example 4

Recall 临界角公式:

n1sin(θ1)=n2sin(θ2)n_1 \sin(\theta_1) = n_2 \sin(\theta_2)

计算器是否能计算 sin1\sin^{-1} 可以,但是输出是小数形式,具体可能涉及更改计算器输出单位;

Optical Fiber-光纤

【汇总】EE6301课程讲义, p.138

Optical Fiber

【汇总】EE6301课程讲义, p.138

阶跃型光纤(Step-index fiber)

单模光纤-single mode:只有一个模式(或入射角)存在 光传播的模式单一,避免了多模干涉现象,适合长距离传输。 多模光纤-Multi mode:可以同时存在多个模式(或入射角) 具有更高的光收集效率,但色散(信号失真)更高。

Example-计算全内反射临界角

【汇总】EE6301课程讲义, p.142

Example 5

同理:套临界角公式;

光谱法 (Spectrometry)

【汇总】EE6301课程讲义, p.145

光谱法 (Spectrometry)

几个重要术语:

【汇总】EE6301课程讲义, p.145

【辅助理解】

Beer-Lambert Law

【汇总】EE6301课程讲义, p.146

Beer–Lambert law

【汇总】EE6301课程讲义, p.146 Beer–Lambert law: 描述了光在穿过吸收介质时强度的衰减与物质浓度和光程长度之间的关系。 Absorbance=log10(I/I0)=αL=εcLAbsorbance = - \log_{10} ( I / I_0 ) = \alpha L = \varepsilon c L

【汇总】EE6301课程讲义, p.146

OD :Optical Density-光学密度=A:Absorbance

Example-摩尔吸光系数、吸光度

【汇总】EE6301课程讲义, p.152

Example 6

对于Beer……定律中的所有参数,要能够替换计算 代入Beer公式,注意单位换算

【汇总】EE6301课程讲义, p.154

Example 7

吸收的高级主题——偏振-Advanced Topic in Absorption - Polarization

【汇总】EE6301课程讲义, p.155

Advanced Topic in Absorption - Polarization

涉及:偏振光、偏振片; 暂略,可跳转原文查看;

FLUORESCENCE SPECTROSCOPY-荧光光谱学

【汇总】EE6301课程讲义, p.162

Luminescence

什么是发光-Luminescence? 当电子从激发态回到基态时,以光子的形式释放其多余能量时发生。发光是从电子激发态发射光子的过程。

根据激发方式的发光类型:

【汇总】EE6301课程讲义, p.163

荧光(Fluorescence) 发射辐射的能量低于吸收辐射的能量,因为部分能量在振动或碰撞过程中损失。因此,发射辐射具有比吸收更长的波长(更低的能量)—Hence the emitted radiation has longer wavelength (less energy) compared to Absorption

斯托克斯位移(Stokes shift):分子吸收峰和发射峰之间的差异。

荧光寿命-Lifetime

【汇总】EE6301课程讲义, p.168

Lifetime

不确定是否重要:暂略,跳转原文;

量子产率(Quantum Yield)

【汇总】EE6301课程讲义, p.170

Quantum Yield

荧光量子产率(fluorescence quantum yield)Φ\Phi 是指在激发态的分子中,有多少比例返回基态 S0S_0 的过程中发射出荧光光子的比率。 公式如下: Φ=krkr+knr=krτs\Phi = \dfrac{k_r}{k_r + k_{nr}} = k_r \tau_s 其中:

荧光量子产率(Φ\Phi)的定义为:

Φ=# of photons emitted-发射光子数# of photons absorbed-吸收光子数=0 to 1\Phi=\frac{\text{\# of photons emitted-发射光子数}}{\text{\# of photons absorbed-吸收光子数}}=\text{0 to 1}

记录量子产率(Φ\Phi)的最可靠方法是比较法,该方法涉及使用具有已知量子产率(Φ\Phi)值的、特性明确的标准样品。

Example-计算量子产率

【汇总】EE6301课程讲义, p.172

Example 8

识别图片的激发态和基态的光子数量:

拉曼光谱-Raman

【汇总】EE6301课程讲义, p.179

Origin of Raman

拉曼光谱-Raman Spectroscopy:基于光的散射现象。样品通常通过激光束(相干光源)进行照射。

拉曼散射(包括斯托克斯线和反斯托克斯线)是拉曼光谱的核心

三种散射类型:

散射:光子不被吸收

Raman shift-拉曼位移 & 波长/波数转换

【汇总】EE6301课程讲义, p.186

实际应用中,拉曼光谱以拉曼位移的形式绘制,拉曼位移表示峰能量与激发激光能量之间的差异;—拉曼光谱通常以波数单位 (cm1\text{cm}^{-1}) 表示


单位转换:波长、波数 普朗克方程将光子的能量与其频率联系起来,普朗克方程: E=hνE = h\nu

其中,EE 为能量,hh 为普朗克常数(6.62607004×1034 m2kg/s6.62607004 \times 10^{-34}\ \text{m}^2 \cdot \text{kg/s}),ν\nu 为频率。

波数(ν~\tilde{\nu})是红外光谱区域中常用的单位,定义如下: ν~=1λ\tilde{\nu} = \dfrac{1}{\lambda}

波速公式(波数✖️波长): c=λνc = \lambda \nu

【计算】拉曼位移、波长位移

quiz1 solution(1), p.3

实际位移-shift,波长转换公式为: λraman=1ν~1ν~2\lambda_{\text{raman}} = \dfrac{1}{\tilde{\nu}_{\text{1}} - \tilde{\nu}_{\text{2}}}

Answer for (d):

λraman=1ν~1ν~2=15000cm1107=2000nm\lambda_{\text{raman}} = \dfrac{1}{\tilde{\nu}_{\text{1}} - \tilde{\nu}_{\text{2}}}=\frac{1}{5000 \text{cm}^{-1}} \cdot 10^7 = 2000 \text{nm}

光栅的色散

(Dispersion of Grating)

【汇总】EE6301课程讲义, p.194

Dispersion of Grating

还涉及部份公式,例如Angular dispersion、angular line width之类的

【汇总】EE6301课程讲义, p.194

光栅的色散(Dispersion of Grating)

【汇总】EE6301课程讲义, p.194

光栅方程-Grating equation: dsinθ=mπd \sin \theta = m \cdot \pi


N:光栅上被照亮的刻线数-number of illuminated lines on the grating R:光栅的分辨能力(resolving power) m:阶数,Diffraction order

光栅的分辨能力公式:

N=RmN=\frac{R}{m}

最小波长差异-smallest wavelength difference: Δλ=λR\Delta\lambda=\frac{\lambda}{R}

【重要&计算】Resolving Power of Grating-光栅分辨能力

【汇总】EE6301课程讲义, p.197

Quiz-Example-衍射光栅

quiz1 solution(1), p.3

给定波长 λ\lambda、分辨能力R,求Spectral resolution(理解为:Δλ\Delta\lambda :可分辨的最小波长差;) Δλ=λR\Delta\lambda=\frac{\lambda}{R}

Quiz-1- For Students AY2425 (with solution), p.4

Example-光栅grating

【汇总】EE6301课程讲义, p.198

Example 9

【汇总】EE6301课程讲义, p.199

Example 10

【汇总】EE6301课程讲义, p.200

Example 11

Week 4-Optical Biosensor(2)

【汇总】EE6301课程讲义, p.212

Structure and applications of photonic biosensing

光子生物传感的结构与应用 Outline:

【重要&计算】量子产率 (Quantum Yield) 和寿命 (Lifetime)

【汇总】EE6301课程讲义, p.219

量子产率 (Quantum Yield) 和寿命 (Lifetime

荧光量子产率(fluorescence quantum yield,Φ\Phi)是指激发态分子中返回到基态 S0S_0 并发射荧光光子的比例
Φ=krkr+knr=krτs\Phi = \dfrac{k_r}{k_r + k_{nr}} = k_r \tau_s 荧光强度(fluorescence intensity)定义为单位时间、单位体积内发射出的光子数量

亮度(Brightness), 公式: 亮度-Brightness=ε×Φ\text{亮度-Brightness} = \varepsilon \times \Phi

水溶性(Water solubility)
此处仅列举“水溶性”作为标题,可说明不同荧光团在水溶环境中的溶解度或分散性差异

Example-量子产率

【汇总】EE6301课程讲义, p.221

Example

量子产率公式:三变量转换;

Example-荧光速率常数

【汇总】EE6301课程讲义, p.222

Example

与上同

荧光、滤光、理解

【汇总】EE6301课程讲义, p.224

Selecting Filters

激发滤光片选择特定波长的光用于激发样品,而发射滤光片只允许特定波长的荧光通过,避免激发光干扰。 【汇总】EE6301课程讲义, p.224

Example-荧光、吸收波长、发射波长、

【汇总】EE6301课程讲义, p.226

Example

【汇总】EE6301课程讲义, p.227

Example

基于波长曲线,选择合适的滤光片组合: 下图展示了某荧光分子的荧光光谱。

使用落射荧光显微镜检测此荧光团时,选择最佳滤光片组合,列出相应的波长范围: A. 激发滤光片范围:460 nm 至 560 nm B. 二向色镜波长范围:560 nm 至 590 nm C. 发射滤光片范围:590 nm 至 700 nm

【汇总】EE6301课程讲义, p.228

Example

【汇总】EE6301课程讲义, p.230

Example

【汇总】EE6301课程讲义, p.231

Example

复杂计算Example

无标记生物传感器-光纤-Label Free Biosensors – Fiber

【汇总】EE6301课程讲义, p.243

Label Free Biosensors – Fiber

无标记生物传感器:

光纤和波导-Optical Fiber and Waveguide

【汇总】EE6301课程讲义, p.248

数值孔径决定了光纤接受外部光信号的能力,角度 α 为接受光的最大入射角

【汇总】EE6301课程讲义, p.249

Multi-Mode vs. Single-mode

【汇总】EE6301课程讲义, p.250

Typical Optical Fiber Sensing Mechanism

光纤生物传感器优缺点

【汇总】EE6301课程讲义, p.251

Fiber Optics Biosensor

优点:

不同类型的无标记生物传感器

【汇总】EE6301课程讲义, p.252

Different Types

Optical waveguides-光波导

【汇总】EE6301课程讲义, p.255

Optical waveguides-光波导

Resonators谐振腔

【汇总】EE6301课程讲义, p.268

Why Resonators

背景:类似于回声 优点:

Effective Interactions-有效相互作用

【汇总】EE6301课程讲义, p.270

Effective Interactions

有效长度由光在谐振腔中旋转的次数决定。 有效长度(Effective length)公式:
Leff=Qλ2πnL_{\text{eff}} = \dfrac{Q \lambda}{2\pi n}

其中:
λ\lambda:波长(wavelength)
nn:谐振腔的折射率(resonator refractive index)
QQ:谐振腔品质因数(resonator quality factor,Q-factor)

腔体品质因数(Cavity Q-factor)是衡量谐振腔品质(quality)的基本参数之一,用于表征腔体的能量损耗(measuring cavity loss) Q2π×储存能量(stored energy)每周期能量损耗(energy loss per cycle)Q \equiv \dfrac{2\pi \times \text{储存能量(stored energy)}}{\text{每周期能量损耗(energy loss per cycle)}}

Sensing Principle-传感原理

【汇总】EE6301课程讲义, p.274

Sensing Principle

【汇总】EE6301课程讲义, p.274

Detection Limit-检测限

【汇总】EE6301课程讲义, p.275

Resonant wavelength-谐振波长

【汇总】EE6301课程讲义, p.277

Measuring Bulk Solution

计算公式: 【汇总】EE6301课程讲义, p.277

其中:

注意事项: 该方法用于表征传感器对体溶液中折射率变化的响应。通用性强,不依赖于特定样品。

Surface Plasmon Biosensor-表面等离子体生物传感器;

【汇总】EE6301课程讲义, p.283

Surface Plasmon Biosensor

SPR、LSRP(localized SPR)

Week 5-Biomedical Imaging (1)-生物医学成像

【汇总】EE6301课程讲义, p.308

Week 5Biomedical Imaging (1)

Outline:

【汇总】EE6301课程讲义, p.328

Absorption and its biological origins

涉及比尔定律、吸收系数、吸收截面、透射率等计算公式(感觉不重要)

【汇总】EE6301课程讲义, p.329

散射及其生物学起源

Example-血氧饱和度计算

【汇总】EE6301课程讲义, p.341

Example

计算血氧饱和度,没看懂这个例题;

成像原理(Image Formation)

【汇总】EE6301课程讲义, p.345

成像原理(Image Formation)

透镜成像公式: 【汇总】EE6301课程讲义, p.345

Numerical Aperture-数值孔径

【汇总】EE6301课程讲义, p.347

【汇总】EE6301课程讲义, p.348

Bright Field Microscopy

【汇总】EE6301课程讲义, p.349

明场显微镜中的光路(Light Path in a Bright Field Microscope)

【汇总】EE6301课程讲义, p.353

荧光显微镜的优势

与明场图像相比,它能提供高对比度的图像。由于荧光可以由特定的生物或物理过程激发: 科学家能够在材料科学和细胞生物学中找到许多荧光显微镜的应用: 例如:细胞活力检测 给定一个细胞培养:如何区分死亡细胞和存活细胞? 问题:细胞本身不具有荧光。 解决方案:向培养基中加入荧光物质

问题:荧光物质可能会给整个培养物染色,包括所有细胞。

解决方案:选择一种只在死亡细胞内被激活的荧光物质。实例:碘化丙啶(PI)

【重要&计算】Limitations of Light Microscopy-光学显微镜的局限性

【汇总】EE6301课程讲义, p.355

Limitations of Light Microscopy

新的问题: 如何提高分辨率(How to increase resolution)?

横向分辨率

【汇总】EE6301课程讲义, p.359

Transverse Resolution- Diffraction Limit

【汇总】EE6301课程讲义, p.358

可见光下理论上可达到的最佳分辨率是多少(What is the best theoretically-achievable resolution using visible light)?

纵向(轴向)分辨率

【汇总】EE6301课程讲义, p.360

轴向分辨率 - 景深(Depth of Focus

焦深(又称 focal depth)指的是在同一时间内清晰聚焦的样本层的深度,即使在观察和拍摄样本时,物镜与样本平面之间的距离发生变化,显微镜仍能保持清晰成像 公式如下:
dtot=λnNA2+nMNAed_{\text{tot}} = \dfrac{\lambda \cdot n}{NA^2} + \dfrac{n}{M \cdot NA} e dtotd_{\text{tot}}:表示景深(Depth of Field)
λ\lambda:照射光的波长(wavelength of illuminating light)
nn:样本与物镜前透镜之间介质的折射率(refractive index of the medium,一般空气为 1.000) (between the sample and the objective front lens element) NANA:物镜的数值孔径(Numerical Aperture)
ee:是放置在显微镜物镜图像平面上的探测器所能分辨的最小距离 (Smallest distance that can be resolved by a detector that is placed in the image plane of the microscope objective) MM:显微镜的横向放大倍率(lateral magnification) Using this equation, depth of field (d_tot) and wavelength (λ) must be expressed in similar units.
使用该公式时,景深(d_tot)与波长(λ)必须用相同单位表示

【汇总】EE6301课程讲义, p.361

Endoscopy : bring light to the tissue

【待补充:重要&概念】Photoacoustic Imaging-光声成像

【汇总】EE6301课程讲义, p.386

Photoacoustic Imaging

有别于传统超声成像;

光声成像基本原理

【汇总】EE6301课程讲义, p.393

Principle of Photoacoustic Imaging

光声显微镜的光学分辨率

待补充;

Week 6 Optical Bioimaging and Devices-光学生物成像与器件

【汇总】EE6301课程讲义, p.410

CONTENT

Outline:

光谱学:光与物质的相互作用

【汇总】EE6301课程讲义, p.412

Spectroscopy: Light versus matter

光源照射:

【汇总】EE6301课程讲义, p.421

高光谱成像(Hyperspectral Imaging),也称为成像光谱学(Imaging Spectroscopy)或光谱成像仪(Spectral Imager),是一种用于测量样本在视场(FOV)内的反射辐射的仪器,使用户能够在一次测量中同时收集多个波长的信息。

【重要&计算】混淆矩阵&ROC曲线 & 其他指标

【汇总】EE6301课程讲义, p.449

混淆矩阵 (Confusion Matrix)?

ROC曲线-Receiver Operator Characteristic:一种图形化的曲线图,用于展示二元分类器的诊断能力。 【汇总】EE6301课程讲义, p.450 左图(AUC = 1.0):完美分类器,能完全正确区分所有正负类右图(AUC = 0.5):随机分类器,相当于随机猜测;

纵轴(Y 轴):真正率(True Positive Rate,1-特异性) 横轴(X 轴):假正率(False Positive Rate,1-灵敏度) 斜线表示随机猜测的情况(chance line) 红色曲线代表分类器的表现。

【汇总】EE6301课程讲义, p.452

Precision and Accuracy

【汇总】EE6301课程讲义, p.453 辅助记忆&&理解:

准确率(Accuracy):
TP+TNTP+TN+FP+FN\dfrac{TP + TN}{TP + TN + FP + FN} 特异性(Specificity):
TNTN+FP\dfrac{TN}{TN + FP} 灵敏度 / 召回率(Sensitivity / Recall):
TPTP+FN\dfrac{TP}{TP + FN}

【概念】Percsion and Accuracy-精度和准确度概念分析

Accuracy – how close a measurement is to the true value
Precision – how close the measurements are to each other (reproducibility) 准确度(Accuracy):衡量测量值与真实值的接近程度。 精度(Precision):衡量多次测量值之间的接近程度,即再现性(可重复性)。 【汇总】EE6301课程讲义, p.452

  1. 既不准确也不精确(Neither accurate nor precise):
    • 数据点分布分散,且远离目标中心。
  2. 精确但不准确(Precise, but not accurate):
    • 数据点集中在同一区域,但远离目标中心。
  3. 既精确又准确(Precise AND accurate):
    • 数据点紧密集中,并且接近目标中心。

Microfluidic Optical Biochips-微流体光学生物芯片

【汇总】EE6301课程讲义, p.479

BIO CHIPS

背景:基于微流控技术的优势微流控技术可以降低传统分析设备(血糖仪、血液化学分析仪、流感检测试剂)的成本和体积。适用于资源有限的社区和家庭护理环境中的即时检测(POCT)

Week 8-Electrochemical Biosensor-电化学生物传感器

【汇总】EE6301课程讲义, p.509

Electrochemical Biosensor

Outline:

Example-氧化还原反应

【汇总】EE6301课程讲义, p.523

|| Examp

氧化还原反应:Redox Reaction 氧化反应(Oxidation reaction):
Zn(s)Zn2+(aq)+2eZn(s) \rightleftharpoons Zn^{2+}(aq) + 2e^- 还原反应(Reduction reaction):
Ag+(aq)+eAg(s)Ag^+(aq) + e^- \rightleftharpoons Ag(s) 电化学电池的总反应方程(The potential of the electrochemical cell):
Zn(s)+2Ag+(aq)2Ag(s)+Zn2+(aq)Zn(s) + 2Ag^+(aq) \rightleftharpoons 2Ag(s) + Zn^{2+}(aq)

电化学生物传感器(Electrochemical Sensor)

【汇总】EE6301课程讲义, p.524

电化学生物传感器(Electrochemical Sensor)

电化学传感器由三个核心组件组成:

传感器(sensor)的作用:将化学反应转换为电子流,并通过电流、电压、阻抗或电导率的变化进行测量。

类型一般有三类:

阻抗型传感器(Impedimetric Sensor) 通过阻抗图谱(Z’-Z”)分析信号。

Potentiometry-电位测量法(电位型生物传感器)

【汇总】EE6301课程讲义, p.529

Potentiometry

能斯特方程(Nernst Equation)

【汇总】EE6301课程讲义, p.532

Nernst Equation

电位型电化学电池的电势计算公式: Ecell potential=EcathodeEanode=EreductionEoxidationE_{\text{cell potential}} = E_{\text{cathode}} - E_{\text{anode}} = E_{\text{reduction}} - E_{\text{oxidation}} 补充解释:

能斯特方程(Nernst equation)中,对数项表示反应商(reaction quotient, QQ
在温度为 298 K(25°C)下,能斯特方程为: E=ERTnFlnQE = E^\circ - \dfrac{RT}{nF} \ln Q

在标准条件下简化为: E=E0.05916nlogQE = E^\circ - \dfrac{0.05916}{n} \log Q 其中:

电流型生物传感器(Amperometric biosensors)

【汇总】EE6301课程讲义, p.544

Amperometric biosensors

电流型生物传感器是一类电化学生物传感器,通过将传感表面上由电活性物质引起的生物识别事件转化为电流信号来进行检测。 电流型转换基于电活性物质在生物传感器表面上的氧化还原反应。

【重要】单位换算:电流(安培)、库仑、法拉第、摩尔、电子数(阿伏伽德罗常数)

【汇总】EE6301课程讲义, p.544 电荷(库仑)= 电流(安培) × 时间(一般换算为秒)
96,500 Coulombs=1 Faraday96,500 \ \text{Coulombs} = 1 \ \text{Faraday}
1 Faraday=1 摩尔电子(mole of electrons)1 \ \text{Faraday} = 1 \ \text{摩尔电子(mole of electrons)}
1 摩尔电子=96,500 Coulombs1 \ \text{摩尔电子} = 96,500 \ \text{Coulombs}
1 mole=6×10231 \text{ mole} = 6 \times 10^{23} 【汇总】EE6301课程讲义, p.554 计算出电子对应的摩尔后,基于阿伏伽德罗常数 6×10236\times 10^{23} 计算出电子的数量

Example-计算质量、法拉第常数、平均电流、化学方程:产生的电子的摩尔数;

【汇总】EE6301课程讲义, p.545

Example 1

结合化学反应方程,需要得知化学反应式的电子和反应物(例如Ag银)的数量对应关系,结合单位换算部分内容,计算质量;

1摩尔银离子需要1摩尔电子来进行还原沉积

【汇总】EE6301课程讲义, p.547

Example 2

【汇总】EE6301课程讲义, p.554

Example 3:

先转换乳酸质量对应的摩尔数(分子量为100g/mol) 1摩尔乳酸(lactate)需要12摩尔电子来进行还原沉积

Quiz-Example-基于摩尔质量、阿伏伽德罗常数,计算电子数量

quiz1 solution(1), p.3

【官方example】Sample Quiz- For Students, p.2

其他电化学生物传感器

【汇总】EE6301课程讲义, p.560

阻抗/电导生物传感器(Impedance/Conductometric Biosensor)

【汇总】EE6301课程讲义, p.564

晶体管生物传感器(Transistor Biosensor)

【汇总】EE6301课程讲义, p.568

电容式生物传感器(Capacitance Biosensor

电阻抗谱分析(Electrical Impedance Spectroscopy, EIS)

Randles 电路

【汇总】EE6301课程讲义, p.571

Randles circuit

【汇总】EE6301课程讲义, p.571 在电化学中,Randles 电路是一种等效电路模型,由以下部分组成:

【重要】波特图(Bode plot)

【汇总】EE6301课程讲义, p.572

波特图(Bode plot)

【汇总】EE6301课程讲义, p.572 波特图(Bode plot)实际上包含两个图:

波特图的优势:

奈奎斯特图(Nyquist plot)

【汇总】EE6301课程讲义, p.573

奈奎斯特图(Nyquist plot)

【汇总】EE6301课程讲义, p.573

奈奎斯特图通过绘制阻抗的负虚部(-Z”) 对应于阻抗的实部(Z’) 来展示电化学系统的阻抗特性。奈奎斯特图较为复杂,但由于其实用性,在电化学领域得到了广泛应用。

该图的优势: 对变化高度敏感,能够清晰地反映系统的阻抗特性变化。直观读取电路参数,在常见的电路模型中,可以直接从图中提取重要参数

Summary

【汇总】EE6301课程讲义, p.577

Summary

检测原理: 电化学生物传感器(Electrochemical Biosensors) 的检测机制包括:

Week 9-Bioelectricity and Biopotential-生物电与生物电位

【汇总】EE6301课程讲义, p.580

Week 9Bioelectricity and Biopotential

Outline:

Bioelectricity生物电概念

【汇总】EE6301课程讲义, p.587

Bioelectricity: Key Concepts

Electric charge-电荷

【汇总】EE6301课程讲义, p.588

Electric charge

电荷(Electric charge) 电荷是量子化的,即它以整数倍的形式存在,每个最小单位称为基本电荷 (elementary charge),记作 e。 在国际单位制(SI)中,电荷的单位是库仑(Coulomb, C) e1.602×1019 Ce \approx 1.602 \times 10^{-19} \ \text{C}ee 为基本电荷,单位库仑)

1 C=e1.602×10196.241×1018 e1 \ \text{C} = \dfrac{e}{1.602 \times 10^{-19}} \approx 6.241 \times 10^{18} \ e
(即 1 库仑约等于 6.241×10186.241 \times 10^{18} 个电子的电荷量)

电子与质子的电荷 电子(electron)的电荷为 −e 质子(proton)的电荷为 +e 二者的电荷大小相等,符号相反

光子能量转换公式:1eV=1.602×1019 J1 \text{eV} = 1.602 \times 10^{-19} \ \text{J}

电流(Electric current)

【汇总】EE6301课程讲义, p.589

Electric current

电流由移动的电子(如电路中)、离子(如电池中)或两者共同作用(如等离子体中)产生。 在国际单位制(SI)中,电流的单位是安培(Ampere, A)。

1A=1C/1s1\text{A}=1\text{C}/1\text{s}

如果我们用 ΔQ(t)\Delta Q(t) 表示在时间区间 [t,t+Δt][t, t + \Delta t] 内流动的电荷量,则有: iE(t)=limΔt0ΔQ(t)Δt=Q(t)i_E(t) = \lim_{\Delta t \to 0} \dfrac{\Delta Q(t)}{\Delta t} = Q'(t) 其中:

电压(Voltage)

【汇总】EE6301课程讲义, p.590

Voltage

电压是指将单位电荷在电路中两个点之间移动所需的功。 在国际单位制(SI)中,电压的单位是伏特(Volts, V)

1V=1J/1C1\text{V}=1\text{J}/1\text{C}

正电荷会被拉向较低电压的区域,而负电荷则相反。电流通常从较低电压流向较高电压,但只有当能源(如电池)推动它时才能发生。

电阻(Resistor)

【汇总】EE6301课程讲义, p.591

Resistor

电阻是一种限制电流流动的电路元件,即它通过在端子间产生电压降来抵抗电流。 电阻(Resistance,R)表示对电流的阻碍能力,单位是欧姆(ohm, Ω)。 1 Ω=1 V1 A1\ \Omega = \dfrac{1\ \text{V}}{1\ \text{A}}

电势能

【汇总】EE6301课程讲义, p.593

Potential Revisited

电势能概念、背景探讨、细胞膜电位计算;

临床常见的生物电位电极(Common Biopotential Electrodes in Clinicals)

【汇总】EE6301课程讲义, p.623

Common Biopotential Electrodes in Clinicals

生物电位是一种电压(voltage),它是在活细胞、组织或器官的不同点之间测量的,并且是由生物化学过程或刺激引起的。

涉及EMG、ECG、EEG的原理解释;

电路阻抗(Impedance of Electrical Circuit)

【重要】电阻、电容、频率关系

【汇总】EE6301课程讲义, p.650 【汇总】EE6301课程讲义, p.650

电阻

【汇总】EE6301课程讲义, p.651

mpedance of Electrical Circuit

阻抗表示电路对电流流动的总阻碍,由电阻(R)、电容(C)和电感(L)组成。电路中包含的不同无源元件(R、C、L)及其连接方式会影响电路的阻抗。 设在某一频率下施加一个低幅度的交流电压,则电压为:
v(t)=V0sin(ωt)(公式22v(t) = V_0 \sin(\omega t) \quad(公式 22)

施加到电路后,测得的交流电流与相同频率的关系为:
i(t)=I0sin(ωt+φ)(公式23i(t) = I_0 \sin(\omega t + \varphi) \quad(公式 23)

此时,电路在该频率下的阻抗 Z(ω)Z(\omega)(基于方程21)的定义为:
Z(ω)=Zejφ=Z(cosφ+jsinφ)=Z+jZZ(\omega) = |Z| e^{j\varphi} = |Z| (\cos\varphi + j \sin\varphi) = Z' + jZ''

其中:

【汇总】EE6301课程讲义, p.651 【汇总】EE6301课程讲义, p.651

Z=Zcosφ (实部,式25Z' = |Z| \cos \varphi  (实部,式 25)
Z=Zsinφ (虚部,式26)Z'' = |Z| \sin \varphi  (虚部,式 26) Z=(Z)2+(Z)2 (阻抗幅值,式27|Z| = \sqrt{(Z')^2 + (Z'')^2}  (阻抗幅值,式 27) tan(φ)=ZZ,且 φ=tan1(ZZ) (相位角,式28\tan(\varphi) = \dfrac{Z''}{Z'},且 \varphi = \tan^{-1}\left(\dfrac{Z''}{Z'}\right)  (相位角,式 28)

需要注意的是,尽管阻抗具有一定的复数特性,但串联电路中的等效阻抗仍然遵循基尔霍夫定律(Kirchhoff’s rule)。

【汇总】EE6301课程讲义, p.653 图A-电阻电路:


图B-电容电路:

【重要&计算】Example-ECG、电路阻抗、波特图(Bode plot)

【汇总】EE6301课程讲义, p.657

Example

【汇总】EE6301课程讲义, p.660

Example 求解频率函数,绘制波特图;

Recall Bode plot

Pasted image 20250331160051.png

EEG-脑电图

【汇总】EE6301课程讲义, p.664

EEG: Electroencephalogram

五种脑电波: 【汇总】EE6301课程讲义, p.669


🧠 Beta 波(14–30 Hz)

Week 10-Application of Bioelectronics-生物电子学的应用

【汇总】EE6301课程讲义, p.675

Application of Bioelectronics

Outline:

无Example

Bio Amplfiers-生物放大器

【汇总】EE6301课程讲义, p.689

Biopotential Amplifiers

生物电位放大器是用于处理生物电位信号(例如心电图 ECG、肌电图 EMG、脑电图 EEG、眼电图 EOG 等)的放大器统称

生物电位放大器的各个阶段

三个电极将患者连接到前置放大器阶段。 在去除直流(DC)和低频干扰后(高通滤波器part),信号会通过隔离放大阶段连接到输出低通滤波器。隔离阶段能够为患者提供电气安全,防止地环路,并减少干扰信号的影响。 【汇总】EE6301课程讲义, p.692

运算放大器(Operational Amplifiers)

【汇总】EE6301课程讲义, p.693

Operational Amplifiers

【汇总】EE6301课程讲义, p.693

反相放大器(Inverting Amplifier) 【汇总】EE6301课程讲义, p.694 特点:输出电压与输入电压反向,增益为负; V0=(RfRi)ViV_0 = -\left(\dfrac{R_f}{R_i}\right) V_i 其中:

同相放大器(Non-inverting Amplifier) 【汇总】EE6301课程讲义, p.694 V0=(1+RfRi)ViV_0 = \left(1 + \dfrac{R_f}{R_i}\right) V_i

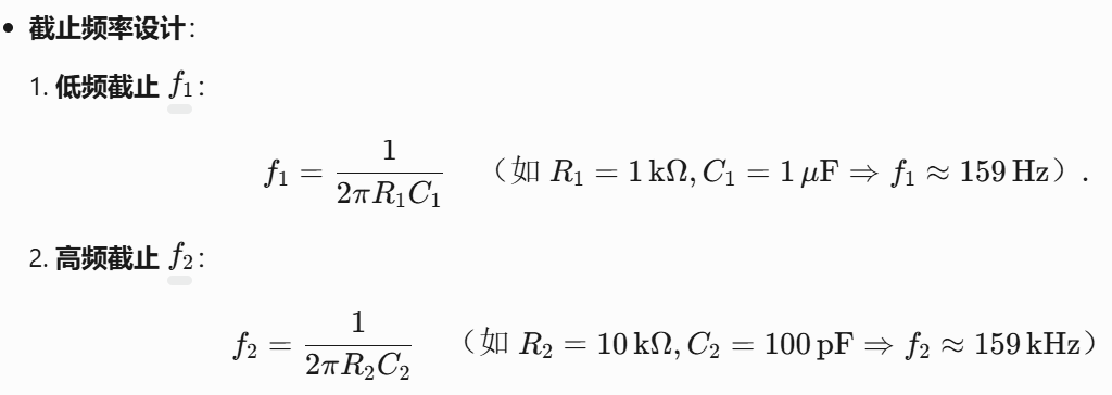
滤波器(Filters)

【汇总】EE6301课程讲义, p.695

Filters

【汇总】EE6301课程讲义, p.695

【补充资料】 Pasted image 20250331202233.png

低通滤波器时域波形vs频域曲线: 【汇总】EE6301课程讲义, p.696

高通滤波器波形: 【汇总】EE6301课程讲义, p.696

模拟滤波器

【汇总】EE6301课程讲义, p.697

模拟滤波器(Analog Filters)

模拟滤波器(Analog Filters):是由模拟元件(如电阻、电容、电感和运算放大器)构成的电路。它们在电子学中被用作信号处理的基本构建模块。 【汇总】EE6301课程讲义, p.697

传递函数 H(s)H(s) 描述了滤波器在复频域(s域)的输入输出关系: H(s)=VoVi=sCR21+sCR1H(s) = \dfrac{V_o}{V_i} = \dfrac{-sCR_2}{1 + sCR_1}s=jω=j2πfs=j\omega=j2\pi f代入传递函数,得到频域响应: H(jf)=H0j(f/f0)1+j(f/f0)H(jf) = H_0 \cdot \dfrac{j(f/f_0)}{1 + j(f/f_0)}


无源高通滤波器

电阻(R)​ 和 ​电容(C)​ 构成的 ​无源高通滤波器(Passive High-pass Filter),计算截止频率 fcf_c

fc=12πRCf_c=\frac{1}{2\pi RC}

无源电路(Passive Circuit)​:
​仅由被动元件构成​(如电阻、电容、电感),无需外部电源,无法放大信号能量,只能衰减或滤波。
​典型示例:由电阻和电容组成的RC低通/高通滤波器。

【汇总】EE6301课程讲义, p.698

补充资料 传递函数推导: VoutVin=RR+1jωC=jωRC1+jωRC\dfrac{V_{\text{out}}}{V_{\text{in}}} = \dfrac{R}{R + \dfrac{1}{j\omega C}} = \dfrac{j\omega RC}{1 + j\omega RC} 幅频特性: VoutVin=ωRC1+(ωRC)2\left| \dfrac{V_{\text{out}}}{V_{\text{in}}} \right| = \dfrac{\omega RC}{\sqrt{1 + (\omega RC)^2}}ω=2πfc\omega = 2\pi f_c,即 ωRC=1\omega RC = 1 时,幅度为 0.707。

有源带通滤波器

  • ​有源电路(Active Circuit)​:
    ​包含需要外部电源供电的主动元件​(如运算放大器、晶体管、集成电路等),能够对信号进行 ​能量放大 或 ​主动控制。
    ​图中示例:此电路包含运算放大器(需外部电源供电),属于典型有源电路。

【汇总】EE6301课程讲义, p.699

Analog Filter

这张图展示了一个 ​有源带通滤波器 或 ​补偿放大器 电路,由运算放大器、电阻和电容构成。

Recall 带通滤波器(滤除高频和低频) 【汇总】EE6301课程讲义, p.699

补充资料: Pasted image 20250331211122.png

补充资料: Pasted image 20250331211150.png

Future: AI Machine Learning MLP part

【汇总】EE6301课程讲义, p.735

The FUTURE

Machine learining

【汇总】EE6301课程讲义, p.741 机器学习 (分辨类型,区分类型)

MLP-神经网络、多层感知机

【汇总】EE6301课程讲义, p.742 人脑是最强大的处理器(但现在比起计算机来说速度较慢)。 神经元是信息传递的使者,通过电脉冲和化学信号来传递信息。 在深度学习模型中,神经元是数据流动和计算发生的节点。

EE6301-2024-2025-6-cx10.2+x20.3+x30.4+x40.05=Yx_1\cdot 0.2+x_2\cdot 0.3+x_3\cdot 0.4+x_4\cdot 0.05=Y =20.2+50.3+30.4+10.05=Y=2\cdot 0.2+5\cdot 0.3+3\cdot 0.4+1\cdot 0.05=Y =3.15=3.15 3.15<3.5Healthy3.15<3.5 \rightarrow Healthy

EE6301-2023-2024-4-b(55+85+2+18+71+99+6+46+11)×0.1=Y=44.7(55+85+2+18+71+99+6-+46+11)\times 0.1=Y=44.7 44.7<5044.7<50 Y=NegativeY=Negative

Quiz1-Sample

生物传感器基础;

- 功能、结构

quiz1 solution(1), p.1

各类型传感器的特点

ph传感器属于:电位测量传感器(potentiometric sensor) Recall:【汇总】EE6301课程讲义, p.538

肌肉细胞或神经细胞膜上脉冲传导引起的电势变化称为:动作电位(action potential)

光学谐振器-optical resonators a) 双镜腔(Two-mirrors cavity) b) 表面等离子共振(Surface plasmon resonance) c) 拉曼光谱(Raman spectroscopy) (☑️正确答案)不可以 d) 光纤(Optical fibers),均可以作为生物传感器中的光学谐振器

家用葡萄糖生物传感器-home-based glucose biosensor 与a) 还原和氧化 b) 电化学反应 d) 过氧化氢的浓度有关;

与 c) 阴极的电势变化 (已标记)无关

关于生物传感器的正确表述

错误表述: 灵敏度(Sensitivity)用于确定分析物浓度的最低检测限; E. 分布式光纤传感器(Distributed fiber sensor)可用于测量不同类型的信号

- Evanescent field-消逝场

消逝场(Evanescent field)用于当光从高折射率介质进入低折射率介质时的检测(Optical absorption and reflection difference between oxygen/less oxygen red blood cells)

电化学电池

正确陈述 a) 在电化学电池的电极上发生氧化还原半反应。 (b) 所有电化学反应都涉及电子转移。 (c) 还原(Reduction)发生在阴极(cathode)。 (d) 氧化(Oxidation)发生在阳极(anode)

错误陈述: (e) 所有伏打(原电池)电池都需要使用电能来启动非自发的化学 反应。 (错误,伏打电池是自发反应,而不是电解池) (正 确答案)

光学血氧传感器工作原理-optical blood oxygen sensor

智能手表基于光学血氧传感器的工作原理是:合/缺氧红细胞的光吸收和反射差异(Absorption and reflection difference between oxygen/less oxygen red blood cells)

微阵列-microarray和微流控生物传感器-microfluidic

正确描述: a) 光刻技术(Photolithography)和喷墨打印(Inkjet printing)是常见的制造工具。 b) Lab-on-a-chip(芯片实验室)意味着将微阵列和微流控系统集成在一个生物传感器中,使其具有多个功能。 c) 微阵列生物芯片的目的是同时检测多种分析物。 d) 生物芯片可用于测量细胞、DNA、蛋白质。

错误描述: E. 现代生物芯片通常由纸制成,因为它具有很强的可拉伸性。 (错误,生物芯片通常由硅、玻璃或聚合物材料制成,而不是纸)

无标记光学生物传感器(label-free optical biosensors)

无标记光学生物传感器工作原理: 与:b) 反射率-reflectivity的变化 c) 折射率-refraction_index的变化 d) 波长偏移-wavelength shift的变化 e) 共振频率-resonance frequency的变化,有关; 与Changes in term of fluorescence intensity:荧光强度的变化无关;

成像-imaging(超声、光学、MRI)

以下哪个参数取决于 B 模式超声成像中的空间脉冲长度(spatial pulse length)? D. 轴向分辨率(Axial resolution) (正确答案,轴向分辨率受空间脉冲长度影响

以下哪一项不影响超声成像中的穿透深度(penetration depth)? A. 声波频率(Frequency of acoustic wave) B. 空间脉冲长度(Spatial pulse length)未知出处) C. 衰减系数(Attenuation coefficient) D. 输入超声波强度(Input ultrasound intensity) (未知出处

以下哪项信息在计算光学显微镜的横向分辨率- transverse resolution时是不需要的? A. 放大倍率(Magnification) B. 光的波长(Wavelength of light) ➡️ λ\lambda C. 物镜的接受角(Acceptance angle of objective lens) ➡️ θ\theta D. 浸没介质(Immersion medium) ➡️nn

与光学相干断层扫描(OCT)相比,超声成像的优势是什么? A. 更大的穿透深度(Larger penetration depth) (正确答案) B. 更高的分辨率(Higher resolution) C. 横截面成像模式(Cross-sectional imaging mode) D. 具有测量距离的能力(Ability to measure distance) (未知出处

在腹部、大脑和眼部成像中,哪种成像方式最佳?(依次对应) A. OCT(光学相干断层扫描)、MRI(磁共振成像)、超声(Ultrasound) B. MRI、OCT、超声 C. MRI、超声、OCT D. 超声、MRI、OCT

MRI(磁共振成像)在人体中的主要信号来源是什么? A. 氢(Hydrogen) (正确答案) B. 碳(Carbon) C. 氧(Oxygen) D. 氮(Nitrogen)

荧光- fluorescence

【计算】荧光分子吸收、发射光谱,激发对应蛋白所需的滤光片对应关系?

判断题: 正确: B. 二向色镜的截止波长应位于吸收波长和发射波长之间 C. 荧光显微镜必须包含可以激发样品的光源 D. 双光子荧光显微镜利用能量较低的两个光子形成更高分辨率的图像 错误:A. 具有较长荧光寿命的样品将提供更高的光谱分辨率

心电图(Electrocardiogram, ECG)

【计算】分子吸收系数(molecular absorption coefficient)—Beer-Lambert law

比尔定律(Beer-Lambert Law) Quiz-1- For Students AY2425 (with solution), p.4

Pasted image 20250226175723.png 摩尔吸收系数

【官方example】Sample Quiz- For Students, p.3 Pasted image 20250226180140.png 透射率:transmittance= A= log(transmittance)-log(transmittance)

拉曼散射(Raman scattering)

概念理解:

不正确的理解:

【计算】拉曼位移

quiz1 solution(1), p.3 实际位移-shift计算公式为: λshift=1ν~1ν~2\lambda_{\text{shift}} = \dfrac{1}{\tilde{\nu}_{\text{1}} - \tilde{\nu}_{\text{2}}}

拉曼光谱-Raman spectroscopy通常不用于光学谐振-optical resonator

【重要&计算】衍射光栅、给定一阶分辨率,求光谱分辨率

quiz1 solution(1), p.3

最小波长差异-smallest wavelength difference:Δλ=λR\Delta\lambda=\frac{\lambda}{R}

Quiz-1- For Students AY2425 (with solution), p.4

【计算】基于摩尔质量、阿伏伽德罗常数,计算电子数量

quiz1 solution(1), p.3

【官方example】Sample Quiz- For Students, p.2

【计算】LOD

quiz1 solution(1), p.4

LOD=3sDLOD=\frac{3s}{D}

【官方example】Sample Quiz- For Students, p.3

传感器和传感转换器(Transducer)

a) 传感转换器是一种将能量从一种形式转换为另一种形式的设备。 b) 传感器只能将输入转换为相同形式的信号。( 错误,传感器可以将输入转换为不同类型的信号) (√) c) 传感器可以同时检测或量化许多不同的环境条件。 d) 激光雷达(LiDAR)使用激光光束进行测量,并依赖全内反射。 e) 光电效应是光学传感器的常用原理之一,因其涉及导电率或电子迁移率的变化。 quiz1 solution(1), p.4

理解-神经元——阈值电位,去极化(depolarize)设定阈值电压

下表显示了四个神经元(Neurons)的阈值电位。为了去极化(Depolarize)神经元 I 和 II,但不影响神经元 III 和 IV,应该设定的阈值电压是多少?

Solution:需要设定的电压应该高于 Neuron I 和 Neuron II 的阈值,但低于 Neuron III。

quiz1 solution(1), p.4

波形频率、EEG震荡带;

人工视觉、CCD摄像机

【官方example】Sample Quiz- For Students, p.3

Previous
EE6301-SMART BIOSENSORS & SYSTEMS FOR HEALTHCARE (LEC)
Next
EE6307-ANALOG INTEGRATED CIRCUIT DESIGN (LEC)